2024-02-24
Probability StatisticsDuring WW2, the Allies faced the problem of estimating the monthly rate of German tank production from very limited data. Under a set of assumptions which were justified at the time, it was possible for them to achieve this accurately using statistical methods. In this article, I will outline some of these methods.
The phrase German tank problem has come to refer to the general problem of estimating the maximum of a discrete uniform distribution from sampling without replacement.
The following is a list of abbreviations I use throughout this post:
| Abbreviation | Meaning |
|---|---|
| GTP | German tank problem |
| LF | Likelihood function |
| MAP | Maximum a posteriori estimator |
| MLE | Maximum likelihood estimator |
| MVUE | Minimum variance unbiased estimator |
| PMF | Probability mass function |
The following is a list of symbols I use throughout this post:
Let's make the following assumptions:
With these assumptions in place, let's proceed with our analysis.
There are 2 key approaches we can take, corresponding to the 2 popular interpretations of probability theory:
In the frequentist approach, we:
To answer Question 1, we need an estimator for
. We will consider 2 estimators: The maximum likelihood estimator (MLE) and the minimum variance unbiased estimator (MVUE).
To answer Question 2, we calculate confidence intervals for our selected estimator. For sake of brevity, I will not discuss this in this post.
In frequentist analysis, a popular estimator is the maximum likelihood estimator, which is the maximum of the likelihood function. The likelihood function looks identical to the joint probability density of the observed data, except that we consider it not as function of the data (like the joint PMF is), but as a function of the parameters PMF. It is a term that appears in Bayes' theorem.
What is our data, and what are the parameters of our density? Our data are the observed serial numbers. The single parameter - the one we wish to estimate - is the upper bound of the uniform PMF we have assumed in Assumption 2.
To derive the likelihood function, first consider the case where we have observed the serial number of only a single tank. In this case, under Assumption 2, the joint density (in this case, just the 'density') is simply the univariate discrete uniform PMF with bounds
:

This PMF is familiar, and for
looks like:

This of course is a function of
. Now, to go from this to the likelihood function, instead of fixing the parameter
and considering it a function of
, we fix an
and consider it as a function of
. We write
to refer to the likelihood.
For example, suppose we have observed
. This sole data point is our dataset. The likelihood function looks like this:

Note that, because that the LF is a function of the parameter
and not a function of the data
, the LF is not a PMF and thus is not normalised.
Now, consider the case where we have observed the serial numbers of 2 tanks. If, hypothetically, we were sampling with replacement (capturing a tank, recording the serial number, and then returning it to the enemy!), the samples would be independent and the joint density would be simply the bivariate discrete uniform PMF with bounds
.

But this, of course, is NOT what we're doing. We are sampling without replacement. So the samples are NOT independent. The density is thus:

In the general case of
tanks, the density is:

Where
.
To get the likelihood function from this, you simply consider it as a function of
instead of X. We write:

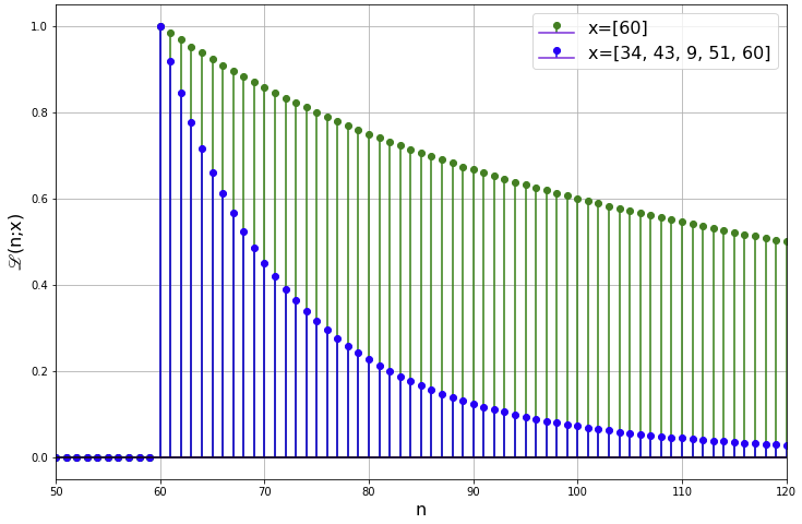
For example, suppose
. The following figure displays the likelihood function in this case.

Let's normalise the two likelihood functions and superimpose them:

Compared to the case of a single observation (
), the LF decays more rapidly when
. Intuitively, this is because the larger your sample size, the more confident you are that its maximum is the true maximum.
Finally, the MLE is simply the value that maximises the LF. Having derived the likelihood function, we can immediately see that the MLE is simply the sample maximum, in this case 60.
Now, there's a problem with the MLE in this case: It is biased, which means that its expected value is not equal to the true value. In fact, 'most of the time', the MLE will underpredict the true value, 'sometimes' it will get it right, but it can NEVER overpredict it. It is 'biased downward'.
So instead, we look for an unbiased estimator.
An unbiased estimator
for
, is one whose expected value is equal to
.
To derive this, first, let's consider the expected value of the sample maximum,
. It is possible to show that:

See, for example, Example 5.1.2 of Hogg et. al. (2019). Rearranging this,
![]()
Now, from the linearity of the expectation operator, we can bring the factor
and the
inside the expectation operator:
![]()
Thus, we have found something whose expected value is equal to
. Thus, the estimator
![]()
Is an unbiased estimator for
.
As it turns out, this estimator is in fact the minimum variance unbiased estimator (MVUE) of
. The proof is beyond the scope of this post, but essentially what you need to do is:
The details are left to the reader.
In this example, the MVUE for
is
tanks.
In summary, for the frequentist approach, we have:
| Estimator | Value |
|---|---|
| MLE | 60 |
| MVUE | 71 |
In the Bayesian approach, instead of being interested in a single point estimate of
, we ask for a probability density of n given our assumptions and data. Specifically, we ask for the posterior PMF of
having prior observed
and
, i.e.
. We can then use various descriptive statistics from the PMF as our estimators. In particular, the mode of the posterior PMF is called the maximum a posteriori (MAP) estimator.
The posterior PMF can be expressed using Bayes' rule as:
I have decided to omit the details from this post, but in summary, each of these are:

Substituting these into Bayes' rule,
![]()
Example
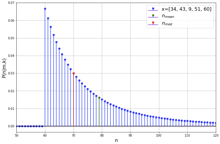
Suppose we observe
, as before. The posterior PMF in this case is shown in the following figure.

The posterior mode (MAP), median and mean are shown in the following table.
| Estimator | Value |
|---|---|
| Posterior mode (MAP) | 60 |
| Posterior mean | 79 |
| Posterior median | 70 |
In summary, we have:
| Approach | Estimator | Value |
|---|---|---|
| Frequentist | MLE | 60 |
| Frequentist | MVUE | 71 |
| Bayesian | Posterior mode (MAP) | 60 |
| Bayesian | Posterior mean | 79 |
| Bayesian | Posterior median | 70 |
Observations:
In this last section, I will ask and answer some basic questions to provide some intuition behind the Bayesian approach.
The results of a quick simulation of this case are shown below. What we can say is that, given fixed
, with increasing
, the probability mass at
increases. As in the case of the likelihood function in the frequentist case from before, this is intuitive, since a larger sample size gives you more confidence that the observed maximum serial number is the total number of tanks. In the limit
, the PMF becomes a single spike of probability mass 1.0 at
.

The results of a quick simulation of this case are shown below. What we can say is that, setting
, the credibility that
increases with increasing
, as shown by the fact that there is more mass at
(the PMF isn't merely shifted to the right). This is because, from Bayes' rule, the posterior PMF is proportional to the LF, which, as we've seen in the frequentist approach, becomes 'steeper' with increasing sample size.
We can interpret this intuitively as follows: Suppose we don't know
and we draw the sample
. While this is compelling evidence that
, it isn't as compelling as the evidence that, say,
if the sample we draw is
.

In this post, we have explored two approaches to the German tank problem - the problem estimating the maximum of a discrete uniform distribution from sampling without replacement. We have explored frequentist and Bayesian approaches and compared their results.
https://en.wikipedia.org/wiki/Lehmann%E2%80%93Scheff%C3%A9_theorem